Secondary Emission on the 6146 Tube

The 6146 is the last tube that I tested. It is a power tube with 3 screens, making it another pentode. The main applications for the 6146 are as an amplifier or an oscillator. It has a typical heater voltage of 6.3 volts. (RCA)

{short description of image}  This is a diagram of the 6146 tube.

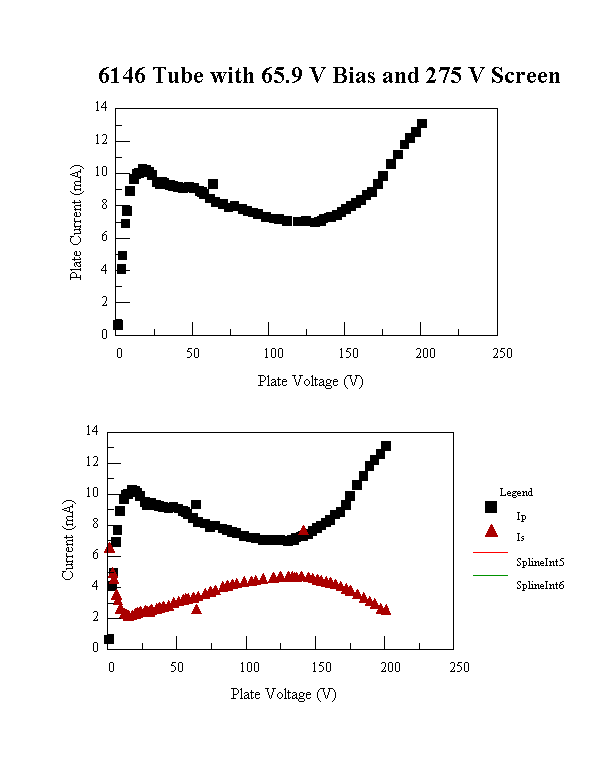
With a 65.9 volt bias and a 275 volt potential across the screen, this tube produced a secondary emission curve with the plate potential ranging up to 200 volts. The current starts to drop when the plate potential reaches about 25 volts, and continues to drop until the plate potential reaches about 150 volts.

{short description of image}

Secondary emission on the 6AU6 tube

Secondary emission on the 6CL6 tube

Secondary emission on the 5763 tube

Back to Secondary Emission page

Back to Front